YouTube : https://youtu.be/VqsSsbM0Lhw
僕の大変お世話になっている、また好きな先輩からお子さんが明日の県模試で困っているとのことで質問を送ってきてくれました。
まずは問題と答えです。

とくに3(3)、8(2)(3)がわからないとのことです。本来ならYouTube動画をとって解説してあげたかったのですが、僕も出先だったのでとりあえず自分でノートに解いてそれを送りました。気力があればこの後、動画とろうと思うのですが…
問題が2つあるので、2つの記事にわけて書いていきます。
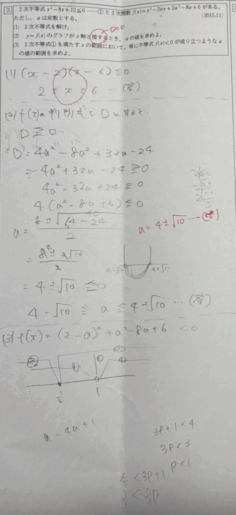
まずひとつめ、③の問題。似たような問題はおそらく問題集にのっていると思います。
問題

解答

生徒の答案

ノートに解いてみました。解答には別解としてのっているやり方を僕は楽なので採用していました。あと解答の場合分けはちょっと不完全なのでセオリーどおり3つに場合分けすべきと思ったのですが、どうですかね。。。

質問者へのアドバイスとしては2点。
・まず送られてきた答案をみると、たぶんこういう図を書く意識をもてばできるようなる気がします。

・それから(2)はみんな判別式でやると思いますけど、実際は「A:頂点」と「B:判別式」の2つのやり方があることを理解しておいてください。結局やってることは同じですけど、問題集ではバラバラにでてきて、僕は「前は別のやり方じゃなかったっけ?」とか「どっち使えばいいんだ?」って混乱していました。結果どっちでもいいので、2つあることを整理して理解しておいてください。
ということで1つ目の質問解説でした。次は別記事で2つ目です。
【質問解説2】二次関数の最大最小と場合分け


コメントを残す